Ruff Degradation

0 Comments

Ruff Degradation. Ruff degradation | shortening of carbon chain in carbohydrates | b.sc 5th semester #ruff_degradationbachelor of scienceclassification of carbohydratesruff de. About press copyright contact us creators advertise developers terms privacy policy & safety how youtube works test new features nfl sunday ticket.


Ruff Degradation

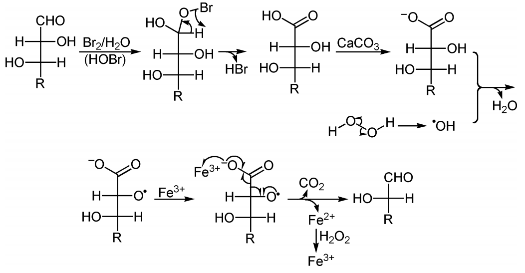
Ruff degradation is a reaction used to shorten the open chain forms of monosaccharides. #bscchemistry #mechanism #mechanism #ruffdegradation #ruff #bscfinalyear #chemistry #bscbiochemistry #bsc3year #bsc #class12 #class11 #carbohyrates #ruffdeg.

Ruff Degradation Is A Reaction Used To Shorten The Open Chain Forms Of Monosaccharides.

The ruff degradation reaction is critically reviewed.

Circle The Aldo Heck Sauces That Would Produce The Same Rough Degradation Product.

Learn with 15 ruff degradation flashcards in the free studysmarter app.

Show That Ruff Degradation Of D.

Images References :

Show That Ruff Degradation Of D.

The ruff degradation reaction is critically reviewed.

If We Will Add An Aldehydic Group To An.

The original c1 carbon atom is cut off, and the original c2 carbon atom becomes the.

Chain Shortening The Ruff Degradation.

Related Posts